Du surfar just nu på en begränsad version av umu.se. Vad innebär det här?
NYHET För att utforma framgångsrika strategier för regional omvandling behövs grundläggande information om befintliga förutsättningar för att förstå en regions framtida möjligheter. Forskare vid Cerum och Institutionen för geografi vid Umeå universitet har därför utvecklat ett fritt tillgängligt verktyg för att utforska regionala omvandlingsmöjligheter i Sveriges 60 funktionella arbetsmarknader.
Zoltán Elekes, Rikard Eriksson och Emelie Hane-Weijman har under lång tid forskat kring frågor som rör regional utveckling och framförallt hur regionala arbetsmarknader påverkas av ett starkt omvandlingstryck (exempelvis olika former av kriser samt både nedläggningar och etableringar). Denna forskning har gett upphov till kunskap som har kunnat användas för att bygga ett visualiseringsverktyg som illustrerar olika regionala skillnader och diversifieringsmöjligheter samt pekar på utmaningar som olika regioner står inför.

Emelie Hane-Weijman, Zoltan Elekes och Rikard Eriksson
BildMarcin Rataj– Vi har känt ett behov av att dels kunna kommunicera vår forskning på ett enkelt sätt då det sällan finns utrymme för alla regionala detaljer i vetenskapliga tidskrifter, men också att öka nyttiggörandet av vår forskning genom att tillgängliggöra information relevant för beslutsfattare och planerare ute i kommuner och regioner. Vi har därför utformat den så det matchar EU agenda för smart specialisering där de bärande principerna är att bredda och utveckla näringslivet utifrån nuvarande regionala styrkor och förutsättningar. Nu kan kommunala och regionala företrädare få grundläggande information om den regionala utvecklingspotentialen och därmed få en grund för att forma lokalt förankrade strategier säger Rikard Eriksson, professor i ekonomisk geografi vid Umeå universitet och forskningsledare vid Cerum.
Zoltan Elekes, en av forskarna bakom verktyget, beskriver några av de grundläggande funktionerna:
– I exemplet nedan kan vi se Umeås lokala arbetsmarknad i relation till övriga 59 FA-regioner i landet. Givet betydelsen av Umeå universitet ser vi en relativt ung befolkning med hög utbildning kring medianen gällande inkomster.

Översiktlig beskrivning av Umeå där den röda linjen representerar Umeås position i respektive graf.
Men det är inte bara ett verktyg för regionala jämförelser eftersom verktyget också möjliggör analyser av bransch- och yrkessammansättning.
– Vår tidigare forskning har tydligt visat hur beständiga bransch- och yrkesstrukturer är, och att det påverkar både möjligheten att hantera kriser, kompetensförsörjning och omvandling eftersom det i hög grad betingar bildandet av ekonomiska aktiviteter och hur människor rör sig på arbetsmarknaden säger Emelie Hane-Weijman som också är en av forskarna bakom verktyget.
Som går att se i figuren nedan består Umeå näringslivsstruktur av en rad olika branscher men domineras av offentlig sektor (hälsa och utbildning), samt av kulturella och kreativa näringar, företagstjänster och, så klart, tillverkning. På samma sätt kan yrkesstrukturen belysas.

Branschsammansättning i Umeå där färger representerar olika delar av arbetsmarknaden.
Eftersom omvandlingsmöjligheten och de individuella och samhälleliga kostnaderna för omvandling utgörs av hur branscher och yrken är kopplade till varandra och om det är möjligt för lokal arbetskraft att göra överflyttningar från krympande till växande verksamheter innehåller verktyget också nätverksrepresentationer av regionerna. I dessa redovisas dels de yrken eller branscher som regionen är specialiserad inom (grå är underspecialiserade), samt i vilken mån de delar liknande kompetenser för att underlätta överflyttningar (hur nära de är varandra i nätverket).

Industry-space för Umeå där de branscher Umeå är specialiserad inom är färgkodade och de som inte är lika närvarande relativt andra svenska regioner är gråmarkerade. Placeringen av branscher bygger på hur mycket branscherna delar kompetenser utifrån mer än förväntad arbetskraftsrörlighet.
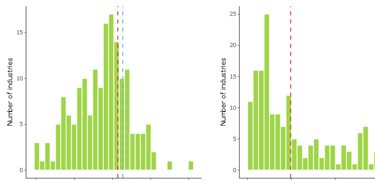
Bild[Fotograf saknas]– Här går det att jämföra nyckeltal för branscher och yrken i en region (tex den röda linjen som representerar tillverkning av instrument och verktyg och den blå linjen som representerar forskning och utveckling inom naturvetenskap och teknik) som båda har liknande inkomstnivåer men väldigt olika utbildningsnivåer berättar Zoltán Elekes.

Jämförelse av tillverkning av instrument och verktyg (röd linje) och Naturvetenskaplig och teknisk FoU (blå linje) i Umeå gällande inkomst (vänster) och utbildningsnivå (höger).
– Men viktigast av allt ur ett regionalt policyperspektiv, menar Zoltán Elekes, är möjligheten att analysera framtida diversifieringspotentialer utifrån nuvarande branschsammansättning. Vi kan exempelvis se att en aktivitet som forskning och utveckling inom samhällsvetenskap och humaniora inte är särskilt närvarande i Umeå, men att det är en bransch som skulle komplettera nuvarande näringsliv på ett bra sätt och även öka komplexiteten i näringslivet. Det är med andra ord ett lågriskalternativ givet att det passar väl in i den nuvarande sammansättningen men ger ett mervärde då det är en specialisering som få andra regioner har.

Smart specialiseringsmatris för Umeå
Utifrån ett kompetensförsörjningsperspektiv har gruppens forskning tidigare identifierat att de varor och tjänster som produceras i en region förändras snabbare än de yrken som finns i regioner. Det går exempelvis att vara maskinoperatör inom tillverkning av skogsmaskiner, men också i andra tillverkningsindustrier.
– Vårt verktyg visar på omvandlingspotentialen och de alternativa karriärvägar personal inom olika yrken har lokalt utan att nödvändigtvis behöva omskolning, säger Emelie Hane-Weijman.

Lokala karriärmöjligheter för Bild-, ljud- och ljustekniker i Umeå (mitten) och fokus på ett av alternativen (Drift-, support- och ljustekniker) samt inom vilka branscher dessa yrken återfinns.
– I exemplet ovan visar vi hur ”Bild-, ljud- och ljustekniker” (yrke 352) har många alternativa karriärvägar i Umeå. Exempelvis ”Drift-, support- och nätverkstekniker” (yrke 351) och inom vilka branscher dessa yrken återfinns. Vi tror verkligen att denna typ av information dels kan underlätta en socialt hållbar omvandlingsprocess och också bistå med information om var särskilt stöd behöver riktas vid snabba omvandlingsprocesser. Ibland behövs riktade utbildningsinsatser, men ibland kan det också finnas många lokala karriärmöjligheter i andra branscher eller yrken avslutar Emelie.
Länk till verktyget: https://os-sweden.rec-group.se/